| TonyGists App 3 Out Now. Download from Play store https://play.google.com/store/apps/details?id=com.TonyGists.TonyGistsapp |
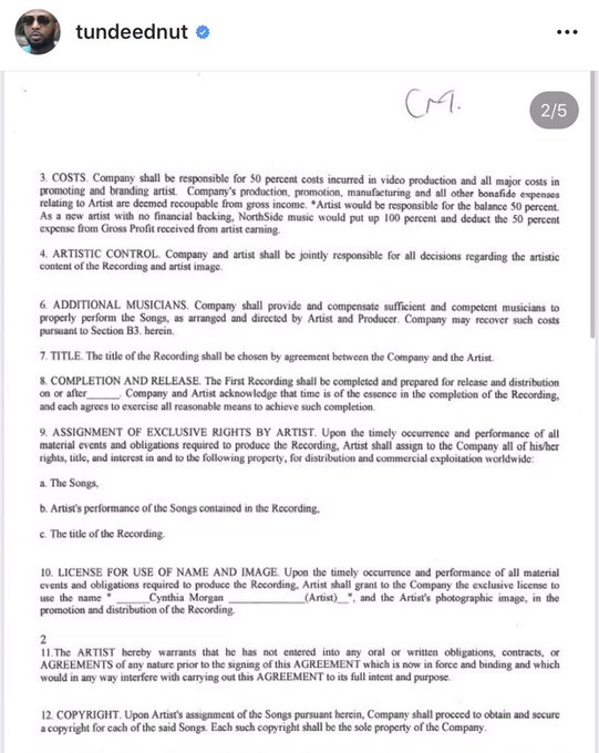
The 2013 contract between dancehall singer, Cynthia Morgan and Northside Entertainment, headed by music executive, Jude Okoye, has surfaced online.
![]()
A copy of the contract was sent to Tunde Ednut by Jude Okoye, in response to the allegations made against him by Cynthia Morgan.
|
Recall that Cynthia who now goes by the stage name Madrina alleged that she was not allowed to use her stage name and that she no longer had access to her social media accounts following her exit from Jude Okoye’s Northside Records.
She also claimed that she lost all she had, including her name, VEVO account, and royalties after they had some issues centering on her contract.
In an Instagram live chat with Tunde Ednut, Jude stated that he doesn’t have the right to take Cynthia Morgan’s name because it is her birth name.
He also explained that Cynthia Morgan, who has been free since 2017, changed her name to ‘Madrina’ while still signed to his record label.
Jude also denied taking over her Instagram and Twitter account, but admitted that he took over her VEVO account, adding that it was a means of recovering over N40m he spent on her.
He further stated that he paid Cynthia Morgan’s house rent, bought her a Range Rover and even gave her money to buy a land for her mother in Benin.
Check out the contract below as signed by both parties in 2013.
![]() ![]() ![]() ![]() ![]() |
Are You On youtube? subscribe to Hot GIST Channel Latest Updates - @Hot Gist
Are You On youtube? subscribe to Gospel World (which is also owned by Tony Gists) youtube Channel Latest Updates - @Gospel world
Are you on audio mack? Follow Tonygists on audio mack to listen and download to the latest Mfm sermons Latest Updates - @Tonygists
Follow Tonygists on LinkedIn to get more jobs opportunities Latest Updates - @Tonygists
Are You On youtube? subscribe to Honest Ose Channel Latest Updates - @Honest Ose
Are You On youtube? subscribe to Honest Web Solutions Channel Latest Updates - @Honest Web Solutions
Are You On youtube? subscribe to Xtremely Honest Channel Latest Updates - @Xtremely Honest
Are You On Twitter? Follow Us Now For Latest Updates - @tonygists
Are You On FACEBOOK? Like Our Page For Latest Updates - tonygists
Are You On FACEBOOK? Join Our Group For Latest Updates And Interactions - TonyGists
© 2025 Tonygists | Portions are © 2025 Associated Press. All rights reserved. This material may be published, broadcast, rewritten, or distributed.











